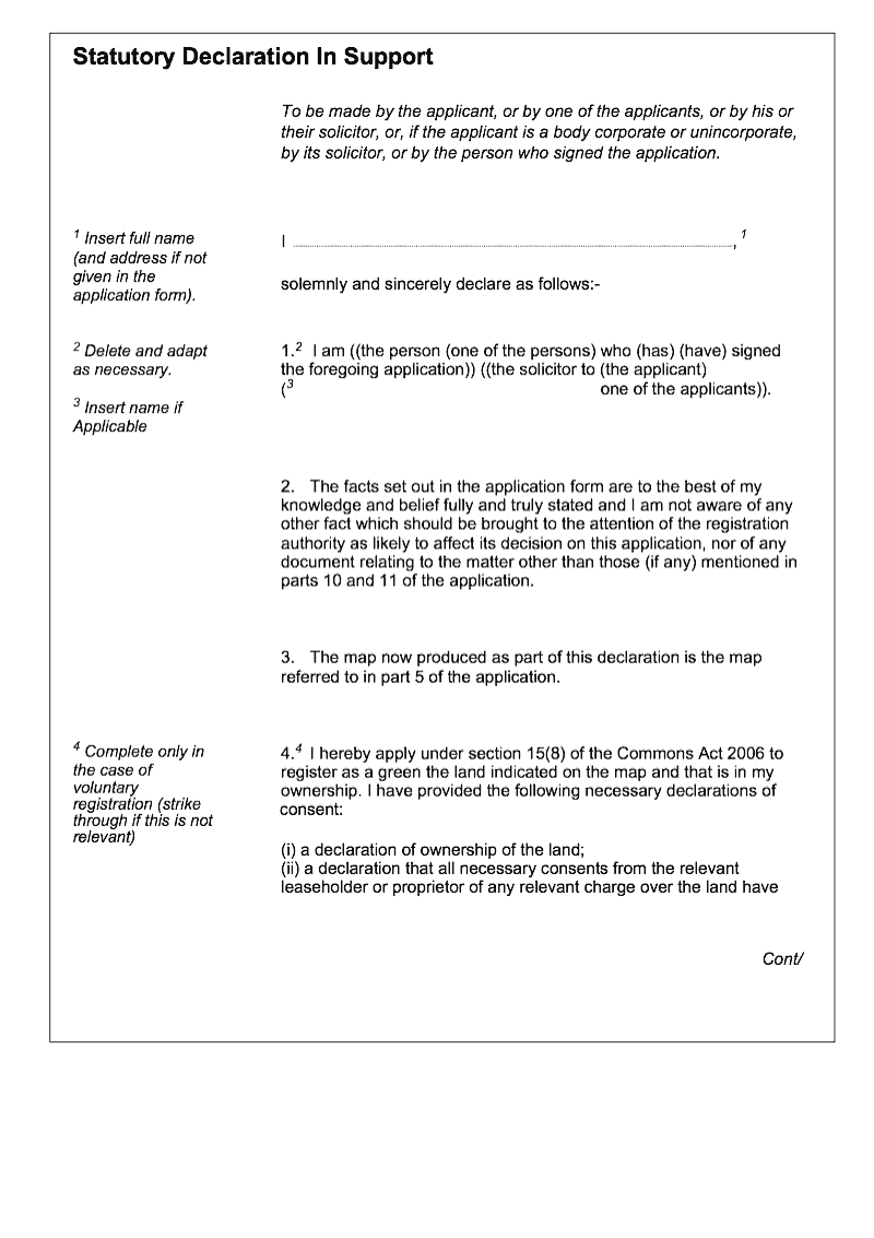
Application for the registration of land as a Town or Village Green (Commons Act 2006: Section 15)
- Adoption
- Business and Property Courts
- Children
- Commonhold
- Company
- Conveyancing
- Court Forms
- Court Funds Office
- Court of Appeal
- Court of Protection
- Divorce
- Education
- Employment
- Family Law
- High Court
- Insolvency
- Intellectual Property
- Landlord and Tenant
- Legal Aid
- Licensing
- Limited Liability Partnership
- Limited Partnerships
- Mental Health
- Northern Ireland Forms
- Office of the Public Guardian
- Personal Injury
- Probate
- Scottish Forms
- Tax
- Tribunals
CR44
Forms come as standard when signing up for a FormEvo License.
Find out more about how pricing works, request a demo today or call the sales team to find out more 0330 551 9341.
Forms come as standard when signing up for a FormEvo License.
Find out more about how pricing works, request a demo today or call the sales team to find out more 0330 551 9341.